Peptide synthesis is the chemically synthesizing of peptides—short sequences of amino acids (AAs) linked by peptide bonds. Peptides have an important role in signaling, enzyme function, and protein structure, making this a crucial step in biochemistry and molecular biology. An important tool in biochemistry, peptide synthesis allows for the mass creation of specific peptide sequences for applications ranging from fundamental science to drug discovery. The exploration of peptides' biological roles and potential therapeutic uses is made possible by ongoing improvements in synthesis methods, which increase the efficiency and breadth of peptide synthesis.
The more common solid-phase peptide synthesis (SPPS) method is one of two options for peptide synthesis; the other being solution synthesis.
(1) SPPS: It is a method for producing various synthetic chemicals by performing chemical transformations on a solid substrate using a linker. SPPS allows for the assembly of peptides by the sequential coupling of AAs in a step-by-step fashion from the N-terminus to the C-terminus, with the C-terminus linked to a solid support. Ensuring the inclusion of one AA per step during peptide elongation requires masking the N-α- AA side chains with stable protecting groups. The last step involves releasing the peptide from the resin while simultaneously removing the side-chain protective groups. It is possible to filter out any soluble chemicals from the peptide-solid support matrix during peptide synthesis and wash them away after each coupling step. This setup allows for the completion of coupling reactions with a substantial excess of reagents at high concentrations, and the execution of all synthesis stages in a single vessel without the need to shift materials.
(2) Liquid-phase peptide synthesis: This traditional technique entails the synthesis of peptides in solution. AAs are amalgamated in a liquid media, frequently necessitating many purification stages following each coupling. Although less frequently employed than SPPS for large-scale synthesis, it might be advantageous for generating longer peptides or when handling delicate chemicals.
 Fig.1 Solid-phase reactors for automated
            peptide synthesis. (Sletten E T., et al., 2019)
Fig.1 Solid-phase reactors for automated
            peptide synthesis. (Sletten E T., et al., 2019)
Peptides play a crucial role in fundamental physiological and biochemical functions of life. For decades now, peptide...

At the forefront of biomedical innovation, peptide drugs have reshaped the treatment landscape with their exceptional...

The development of peptide therapy and candidate screening constitute a complex interdisciplinary task ...

A synthetic peptide library is a collection of randomly synthesized small peptides of specific length using chemical...
(1) The primary AA, obscured by a transient protective group at the N-α-terminus, is affixed to the resin from the C-terminus. A semi-permanent protective group is utilized to hide the side chain when required.
(2) The N-α-protected AA is affixed to the resin through the carboxyl group via a linker.
(3) After the coupling reaction, the protecting group on the AA's side chain (e.g., Fmoc or Boc) is eliminated to facilitate more coupling. This step is essential to maintain the reactivity of the AA side chains for future processes.
(4) The coupling step is reiterated for each consecutive AA in the sequence, resulting in an elongating peptide chain. Each cycle comprises activation, coupling, and deprotection.
(5) To remove any protecting groups and release the final product, the peptide is cleaved from the resin using acidic conditions, such as trifluoroacetic acid, after the appropriate peptide length is reached.
 Fig.2 Generalized approach to solid-phase
            peptide synthesis. (Stawikowski M., et al., 2012)
Fig.2 Generalized approach to solid-phase
            peptide synthesis. (Stawikowski M., et al., 2012)Creative Peptides offers top-notch, professional, and swift peptide services, ensuring high-quality solutions for your research needs with precision, expertise, and unparalleled efficiency.
We can offer include peptide design, synthesis, conjugation, modification, and a range of peptide-related custom services, all compliant with cGMP requirements, tailored to meet specific customer needs efficiently.

Creative Peptides has long-term peptide synthesis experience and rich expertise. We provide...

We have the capacity and capability to produce GMP peptides, APIs in annual quantities of...

Interested in the use of biologically active proteins and peptides as potential therapeutic agents...
The core of peptide synthesis involves the formation of a covalent bond between the carboxyl group of one AA and the amino group of another, resulting in the release of H2O. The activation of the carboxyl group with coupling reagents enhances reactivity, facilitating efficient bond formation. Removal of protective groups ensures that subsequent reactions can proceed without interference. In SPPS, two primary tactics are employed: the butyloxycarbonyl (Boc)/Bzl and the 9-fluorenylmethoxycarbonyl (Fmoc)/t-Bu methods for T/Pn protecting groups. The previous method relies on the incremental acid sensitivity of the side-chain protecting groups. This method involves the removal of the Boc group using either pure trifluoroacetic acid (TFA) or TFA in dichloromethane, while side-chain protecting groups and peptide-resin connections are eliminated at the conclusion of synthesis by treatment with a strong acid, specifically anhydrous hydrofluoric acid (HF). This method facilitates the efficient synthesis of big peptides and tiny proteins; nevertheless, the utilization of extremely hazardous HF and the requirement for specialized polytetrafluoroethylene-lined equipment restrict its application to experts exclusively. Furthermore, the use of very acidic conditions might induce detrimental alterations in the structural integrity of peptides with sensitive sequences. The Fmoc/t-Bu technique relies on an orthogonal protective group strategy. This method employs the base-labile N-Fmoc group to preserve the α-amino function, alongside acid-labile side-chain protecting groups and acid-labile linkers that form the C-terminal amino acid protective group. This technique has the benefit of utilizing distinct processes to eliminate temporary and permanent orthogonal protections, so permitting the application of gentler acidic conditions for the ultimate deprotection and breaking of the peptide from the resin. Consequently, the Fmoc-based SPPS approach has become the preferred technique for the regular synthesis of peptides.
 Fig.3 Principles of solid phase peptide
            synthesis (SPPS). (Ferrazzano L., et al., 2023)
Fig.3 Principles of solid phase peptide
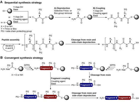
            synthesis (SPPS). (Ferrazzano L., et al., 2023)In SPPS, linear synthesis and convergent synthesis are the two main approaches. To create the desired peptide, the linear synthesis technique adds AAs one at a time. Conventional solid-phase peptide synthesis (SPPS) limits peptides to about 50 residues when adding AAs sequentially. Typical coupling reagents or chemo selective methods (chemical ligation) are used in convergent synthesis, which comprises autonomous solid-phase synthesis of peptide fragments that are then cleaved from the polymer and united by condensation on solid support or in solution. The development of several chemical ligation procedures has allowed for the building of long peptide chains and small proteins, and the convergent approach is often the best way to synthesize peptides with more than 50 AA residues. In contrast to chemical ligation techniques such as native chemical ligation (NCL), α-ketoacid-hydroxylamine ligation (KAHA), salicylaldehyde (SAL) ester-mediated ligation, and traceless-Staudinger ligation, which protect N- or C-terminal and side-chain fragments, standard coupling reagents for fragment condensation require protection of these fragments.
 Fig.4 Solid-phase
            peptide synthesis strategies with linear and convergent synthesis. (Bédard F., et al., 2018)
Fig.4 Solid-phase
            peptide synthesis strategies with linear and convergent synthesis. (Bédard F., et al., 2018)The utilization of solid support in peptide synthesis offers clear advantages due to the multiple repeating procedures involved.
(1) High purity and yield: A high concentration of reagents in such a system can effectively push coupling reactions to completion. Excess reagents and byproducts can be isolated from the developing and insoluble peptide using filtration and washing, with all synthesis stages conducted in a single vessel without material transfer.
(2) Rapid synthesis: The automation of SPPS can markedly accelerate the synthesis process, enabling peptide manufacturing within hours or days. Simultaneous synthesis of several peptides can be achieved with various resin supports, hence enhancing throughput.
(3) Flexible scale: SPPS can be adjusted in size according to the required peptide quantity, rendering it appropriate for both small-scale research endeavors and large-scale industrial manufacturing.
(4) Customization: SPPS facilitates the integration of diverse changes (e.g., post-translational modifications, cyclization) and non-standard AAs, enabling the engineering of peptides with tailored characteristics. Protective groups can be individually added and deleted, facilitating fine control over the final structure.

(1) Therapeutics: A variety of therapeutic peptides are employed to address ailments including diabetes (e.g., insulin), cancer (e.g., specific hormone analogs), and autoimmune disorders. These peptides frequently mimic or obstruct biological processes.
(2) Biomarkers: Peptides are frequently utilized in tests (e.g., ELISA) to identify particular antibodies or proteins in patient samples.
(3) Research tool: Synthetic peptides can investigate protein-protein interactions, aiding in the elucidation of signaling networks and biological processes.
(4) Antibody production: Peptides are utilized to produce particular antibodies for research purposes, facilitating the detection and quantification of target proteins.
(5) Nanotechnology: Peptides can be linked to nanoparticles or other delivery vehicles to improve the targeted administration of medicines. Peptides are employed in the creation of sensitive materials that may alter their characteristics in reaction to stimuli (e.g., pH, temperature).
 Fig.5 Synthetic peptide-based
            applications. (Yang S., et al., 2023)
Fig.5 Synthetic peptide-based
            applications. (Yang S., et al., 2023) Fig.6 Peptide synthesis has proven
            to be useful for several applications.
Fig.6 Peptide synthesis has proven
            to be useful for several applications.We can assist customers in selecting the appropriate peptide sequence, purity and quantity suitable for your needs. Each step of peptide synthesis is subject to Creative Peptides' stringent quality control. Typical delivery specifications include:
Project Consultation & Requirement Analysis
We begin by understanding your exact research goals. Our peptide chemists work closely with you to:
Peptide Design & Feasibility Assessment
Using advanced bioinformatics tools, we conduct:
Solid Phase Peptide Synthesis (SPPS)
We employ Fmoc/t-Bu SPPS technology, leveraging:
Purification & Quality Control
Your peptide is purified via:
Lyophilization, Packaging & Delivery
Once QC is complete, peptides are:
Post-Delivery Support & Re-synthesis
We don't stop at delivery. Our support includes:
References
